Mujeres extraordinarias II: María Gaetana Agnesi 🙅

Esta es la segunda entrada de la saga Mujeres Extraordinarias, en la que quiero rendir homenaje a matemáticas y físicas que a pesar de las dificultades consiguieron destacar en sus respectivos campos de estudio y a las que les debemos numerosas aportaciones. Hoy es el turno de María Gaetana Agnesi, que además de matemática, fue filósofa, lingüista, filántropa y teóloga.

Agnesi fue una mujer natural de Milán, Italia, que nació en 1718 y murió en 1799. Considerada una niña prodigio, María tenía 21 hermanos que recibían de su padre la mejor educación en materia de ciencias y filosofía, asistiendo a clases particulares y siendo partícipes de frecuentes reuniones que él mismo organizaba y que atrían las mejores mentes y más reputadas de la época. Agnesi no tardó en hacer ver su valía y siendo aún una niña, dominaba el italiano, español y latín y participaba en dichas charlas con sus propias disertaciones filosóficas en las que reflexionaba, entre otros muchos temas, sobre el derecho de las mujeres a estudiar ciencia.

Maria Gaetana Agnesi. Fuente: wikipedia

Su trayectoria científica no tardó en despegar. Con solo 17 años criticó el Tratado de las Cónicas escrito por el famoso l'Hôpital que, aunque nunca se publicó, supone un estupendo primer contacto con las publicaciones científicas. Años más tarde decidió, ante la negativa de su padre de convertirse en monja, retirarse y aislarse de todo entorno y ambiente social y consagró su vida al estudio de las matemáticas (sobre todo al álgebra y la geometría) y la religión. 
El año 1748 es posiblemente es más memorable de toda la biografía de Agnesi. Tras 10 años de escritura, publicó Instituzioni analítiche ad uso della gioventú italiana, un libro de más de 1000 páginas de texto que recopilaban las bases del cálculo desarrolladas por Newton y Leibnitz, tratando conjuntamente el cálculo integral y el diferencial. Se consideraba este libro como el texto más completo sobre cálculo pues además de recorrer desde el álgebra hasta las ecuaciones diferenciales, conecta el cálculo con la realidad humana, aportando numerosos ejemplos en la naturaleza. Estos dos tomos, de los que tuvo que hacerse responsable de su impresión ella misma, lograron convertirse en el texto más completo sobre matemáticas usado en las universidades incluso hasta 50 años después de su publicación. 

Los Instituzioni

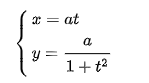
Pero sin duda Agnesi es conocida por una herramienta en concreto que estudió en su obra: la curva de Agnesi. Este objetpo matemático ya fue estudiado por Fermat un siglo antes y para la que Guido Grandi había dado un método de construcción unos pocos años antes. Se trata de una curva que se construye a partir de una circunferencia y su intersección con varias rectas. Su importancia reside en que recientemente se ha descubierto que esta curva es una aproximación de la distribución del espectro de la energía de los rayos X y de los rayos ópticos, así como de la potencia disipada en los circuitos de alta frecuencia de resonancia

Curva de Agnesi y su ecuación. Fuente: wikipedia

Fue en el mismo año en el que publicó Los Instituzioni que sustituyó a su padre en la universidad para hacerse cargo de los cursos que impartía, lo que hizo que en 1750 el Papa la nombrase catedrática de matemáticas superiores y filosofía natural en la universidad de Bolonia. Además fue nombrada miembro de la academia de las ciencias de Bolonia. 

Tras la muerte de su padre, con 34 años, renunció a las matemáticas y dedicó el resto de su vida al estudio de la teología y a la beneficencia, donando todo su patrimonio a los indigentes y desfavorecidos. Compaginaba además sus labores filántropas con la educación de sus hermanos, a los que transmitía su sabiduría y conocimientos. Finalmente Agnesi moriría el 9 de enero de 1799.


Espero que te haya gustado esta breve biografía sobre la gran Agnesi 😊
Gracias por leerme una semana más!!!!!

Comentarios

Entradas populares de este blog

Las Interpretaciones de la Mecánica Cuántica 🌟

El experimento de la doble rendija 👽

Las imágenes del James Webb I: Lentes gravitacionales 👓